TRANSLATE
LINGO
Chemometric soil analysis
from north of Sweden
*UPDATED 7/12/2025*

TABLE OF CONTENTS
Introduction
Hypothesis #2
Data-set
Plant nutrition series
Explanation of Rxy vs pKs
Formulas related to theory
Hydroxides
Sulfides
Sulfates
Carbonates
Chromates
Phosphates
Silica
Distribution phenomena
Nutrition along height-curve
Secondary nutrition-effect
Practical experiment QED
VIDEO summary
e-mail author


"Part of the dataset used in this publication was made available by the Swedish Forest Soil Inventory, with responsibility in the Department of Soil and Environment, SLU. The author is solely responsible for the interpretation of data."

I have through chemometric analysis of soil samples from north of Sweden found several interesting phenomena where elements that form less soluble compunds outcompete more soluble compounds. This cause a characteristic gain in plant-nutrition and transport of ions down the height-curve.

Dear Reader!

In the late summer of year 2000 I traveled along the coastline of northern Sweden and along six rivers inlands, measuring pH in river-water and plant-nutrition in soil at 20 km intervals. This resulted in 28 test-spots and I complemented with data of 20 elements analyzed by SLU "MarkInfo" for each test-spot. The data early in statistical analysis divided into two groups, one that had tendency to increase downhill and the other staying uphill. By further analysis it shows that these effects can be explained by the theory of Competitive Solving and Crystallization, where the ions compete in forming hard to solve compounds in deficiency of an-ions as sulfide, sulfate and carbonate. Hard to solve compounds also seems to be inhibiting sulfide oxidation to sulfate (affects river pH) and cause an interesting secondary release of plant nutrition by elements as lead, zinc, zirconium, titanium, barium and silica. These form hard to solve compounds with a selection of sulfide, sulfate, silicate and phosphate causing deficiency of an-ions for easy to solve plant-nutritious ions and thus cause release of nutrients and transport of ions downhill. The project is now in progress to optimize the proportions between solving and crystallization in order to maintain long term plant nutrition.

Short results of ten years of tests:

One of the test-soils, that confirms the chemometric material is added with extra sulfur as CaSO4 (gypsum). The naturally bacterial reduction of sulfur (VI) to (-II) at anaerobic conditions is confirmed by the depletion of barium, as barium sulfide is soluble in water and barium sulfate is not. A sulfidic soil is accomplished.

Another of the test-soils is added with ZrO2 in excess, then zirconium disulfide forms. As this ZrS2 is not soluble in water, there forms a deficiency of free sulfide. As phosphorus is pretty bound related (but not directly) with sulfide, it comes free in order to fertilize plants and is depleted into deficiency. A great number of nutrients are lightly bound with sulfide, and are remaining in the soil as the amount of free sulfide is small.

Hypothesis #2.4

·Metal sulfides and water form metal hydroxides and hydrogen sulfide (reversible).
·Silicic acid and metal hydroxides react to form amorphous metal silicates.
-By amorphous, I mean more or less disordered crystallization.
·Metal silicates can react with sulfuric acid to form metal sulfates of varying solubility.

Phosphoric acid does not readily react with metal silicates (which dominate when sulfur is deficient). As a result, phosphorus leaches out when sulfides are scarce, such as when bound with an additive like ZrO2, which forms insoluble ZrS2 in the soil. This leads to a temporary increase (a few years) in available plant nutrients (phosphorus) and alters soil chemistry, where phosphorus leaches out and other elements, such as iron, calcium, and magnesium, bind as silicates. Insoluble metal silicates bind in the soil when sulfur is scarce and when silica dissolves into silicic acid.

Phosphoric acid, however, readily reacts with metal sulfides dissolved in water as metal hydroxides, mostly forming insoluble metal phosphates. Adding an excess of sulfur, such as CaSO4, results in bacterial reduction to sulfide in the soil. Hydrogen sulfide oxidized to sulfuric acid reacts with amorphous metal silicates and is reduced to metal sulfides, which dissolve into metal hydroxides. Hydrogen sulfide may also directly react with amorphous metal silicates to form metal sulfides of varying solubility. Subsequently, metal phosphates form, binding phosphorus until it becomes unavailable. Phosphorus remains in the soil, while excess sulfur provides a leaching pathway for soluble silicates, sulfides, sulfates, and easily soluble hydroxides.

Metal phosphates can also react in equilibrium with silicic acid, yielding phosphoric acid and metal silicate. Hydrogen sulfide can oxidize into sulfuric acid, which reacts with both metal silicates and metal phosphates, thus affecting equilibrium. Sulfuric acid is less prone to react with metal phosphates than with amorphous metal silicates and therefore does not leach out phosphates significantly.

I now look forward to deriving and verifying this. Contact: Joakim@ekomatte.se



This first diagram shows how easily dissolved compounds maintain available and mobile, and how hard to dissolve compounds rarely interact in solution. The white field represents the time of the compound in water solution, and the black field represents time of the compound as solid.



TABLE OF CONTENTS

Data-set parameters



The database consists of 28 measure-spots with 23 variables each.
The program used for comparing the data, I developed myself and is called "pHgraf" and it has functions for linear regression and overview of the dataset.

Parameters that I collected the summer of year 2000, travelling along six rivers in the north of Sweden.

PictureImage of every measure-spot
pHAcidity in river-water at every measure-spot
NutritionPlant nutrition at every measure-spot
Distance [km]Distance from river outlet in kilometers

The nutrition parameter is botanically defined in four classes (depending what plants grow at measure-spot)
Concentration of substances in soil collected from SLU (Swedish agricultural university) "MarkInfo" service.
Al2O3 [%]Ba [ppm]
CaO [%]Cr [ppm]
Fe2O3 [%]Cu [ppm]
K2O [%]Mo [ppm]
MgO [%]Ni [ppm]
MnO [%]Pb [ppm]
Na2O [%]Sr [ppm]
P2O5 [%]V [ppm]
SiO2 [%]Zn [ppm]
TiO2 [%]Zr [ppm]

The solubility products are fetched from Gunnar Hägg Allmän och oorganisk kemi and CRC Handbook and are defined at room temperature. Wikipedia and Bing AI and Copilot AI and HyperWrite AI also have been used.

TABLE OF CONTENTS

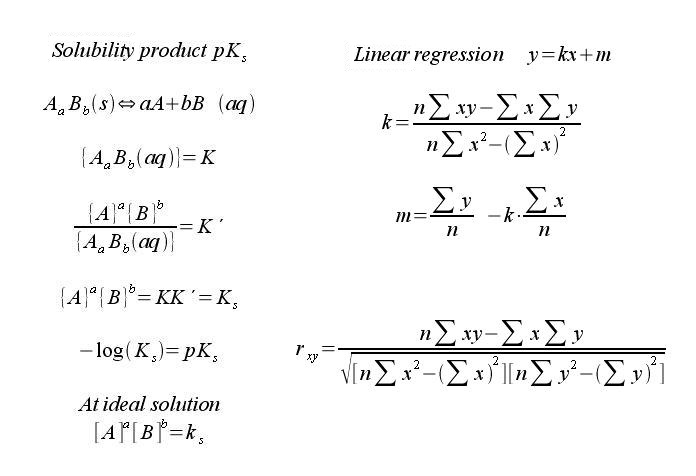
Explanation of Rxy vs pKs

The theory of competitive solving and crystallization is based on variations between soil components in the dynamic range of free ions (nutrients and toxic).

The statistical parameter Rxy is computed for linear regression and yield a measure of how strong the correlation is between two database components in the range of -1 for strong negative correlation, 0 for no correlation and is +1 for strong positive correlation.

The Rxy parameter is not depending on various ranges of the compared components, and is in the database "pHgraf" also completed with a linear equation.

The solubility product pKs is a measure of how the solid state of a compound balances to solution, and as there are many alternative solid states concerning positive and negative ions the diagrams sometimes interfere with each other depending on how strong the most competitive correlation is.


TABLE OF CONTENTS

Formulas related to the theory

In this diagram with Rxy on the Y-axis and pKs on the X-axis. With increasing solubility from A to B

Point 1: Studied compound competitivly dissolved
Point 2: Equal max at similar pKs
Point 3: Studied compound competitivly crystallizing

These phenomena cause redistribution along the height-curve and regulate the availability of plant nutrients.

Mathematic formulas related to the theory of competitive dissolving.

These formulas resulted applied with the program pHgraf and solubility products for some of the compounds in the theory of competitive solving and crystallization in soil.


By statistically comparing 28 measure spots with 23 parameters each, significant covariance in distribution along the height-curve, pH in river-water and plant-nutrition in soil was noted.
Cat-ions
(positive)
An-ions
(negative)
Conclusions

Al

Ba

Ca

Cr

Fe

Cu

K

Mo

Mg

Ni

Mn

Pb

Na

Sr

P

V

Si

Zn

Ti

Zr

Carbonate

Chromate

Hydroxide

Phosphate

Sulfate

Sulfide

By comparing distribution-phenomena in parallel along six rivers in the north of Sweden a strong pattern evolves inbetween the cat-ions in the table. They compete in forming hard to solve compounds with the an-ions, this show as coherent curves in diagrams of the solubility products vs the statistical parameter Rxy. Some elements with hard to solve compounds outcompete the binding to an-ions causing release of several plant nutrients yielding a secondary nutrition effect.



TABLE OF CONTENTS

Hydroxides

The diagram of hydroxide solubility shows the difference between potassium and magnesium and the coherency of the curves between elements with strong linear correlation.



TABLE OF CONTENTS

Sulfides

The simple coherency of the curves for barium, calcium, sodium and strontium indicates an easy to solve sulfide crystallization, and they are outcompeted by the less soluble compounds.

Zirconium shows an inverted curve with positive correlation to lead and zinc sulfide, indicating less soluble characteristics. Titanium also has a curve-shape that indicates insolubility as sulfide. Interesting that these hard to solve sulfides have a positive correlation towards pH in river-water, though sulfide oxidation to sulfate releases hydrogen ions. The hard to solve sulfide compounds seem to inhibit the lowering of pH in river-water in a competitive way.


The solubility and reactivity of the compounds determine cyclic dissolving and crystallization. As shown in the formula below, the oxidation-process releases hydrogen ions. Hard to dissolve compounds inhibit this process in a competitive way, increasing the pH in close river water and release of more easily dissolved compounds (several nutrients).


Formula of acidifying sulfide oxidation to sulfate and forming of hydroxides:
4 FeS2 + 15 O2 + 14 H2O → 4 Fe(OH)3 + 8 SO42- + 16 H+

Other elements that acidifies according to the database pHgraf:
Acidifying
elements
Depleted
by sulfide
Aluminiumyes
Bariumyes
Calciumyes
Chromeyes
Copper---
Ironyes
Magnesiumyes
Molybdenum---
Nickelno
Phosphorno
Sodium---
Strontiumyes
Vanadiumyes





TABLE OF CONTENTS

Sulfates


Potassium has a curve-shape that indicates an easy to solve sulfate.
Copper is easy to solve as sulfate and follow the height-curve downhill.
The over layer of the ground is called oxidationzone, as oxygen easier access the soil, and causes the sulfate ion to dominate over sulfide.

In deficiency of oxygen an microbial reaction with organic compounds reduces the sulfate back to sulfide in the presence of hydrogen ions.
4 Fe(OH)3 + 4 SO42- + 9 CH2O + 8 H+ → 4 FeS + 9 CO2 + 19 H2O


Barium is one of the strong competitors binding sulfate, and according to this theory release nutrients in the surface oxidationzone of the soil, but is easily dissolved as sulfide and thus washed downhill.



TABLE OF CONTENTS

Carbonates

This diagram is strongly affected by other processes but potassiumcarbonate (pearlash) has a mid-range peak at the solubility of barium carbonate. Perhaps due to random fluctuations in the web of correlations.



TABLE OF CONTENTS

Chromates

This vague diagram of chromates with only three known coordinates still shows the coherency along the line of solubility according to linear regression between the elements.



TABLE OF CONTENTS

Phosphates

The phosphates present in the diagram show that potassium phosphate is easily solved in comparison to nickel phosphate, that has positive synergy towards chrome phosphate.



Phosphorus occurs as phosphate PO43-. When binding sulphide with an excess zirconium such as ZrS2, leaching pathways for phosphorus increase along with potassium and sodium phosphate. Available plant nutrition is increasing, phosphate is leached into deficit and the soil is then depleted. However, when increasing the amount of free sulfur, leaching and availability of phosphorus decreases.


TABLE OF CONTENTS

Silica compounds

Silica has negative correlation towards:
Al,P,Fe,Ca,Mg,Mn,Na,Ti,Ba,Cu,Cr,Mo,Ni,Sr,V

Silica has positive correlation towards:
K,Pb,Zn,Zr and all of them (including Silica) have positive correlation to pH in river-water. This can be explained by the inhibiting of the H+ releasing sulfide oxidation to sulfate indicating a possible accessible plant-nutrient increase. Silic acid (H4SiO4) also has an high pKa that rises the pH.


Silica has as the largest soil component a negative correlation towards nutrition, most likely because of long term competitive solving effect on nutrients (causing deficiency), this is a perspective on the other hard to solve competitive compounds as well.

Most likely SiO2 and silic acid reacts with acids and sulfides in order to form silicates of differing solubilities, hence explaining the vast majority of the elements yeilding negative correlations towards silicon in this database.
Zirconium, zinc and lead are assumed not to form silicates from their hydroxides, and are not depleted by silica in the database (but have slightly positive correlation).

TABLE OF CONTENTS

Clusters separating along height-curve

Positive correlation is signed with (/)
Negative correlation is signed with (\)


These elements stay uphill the height-curve, except potassium that is solved and transported downhill.



These elements are transported downhill except zinc that is remaining uphill.



TABLE OF CONTENTS

Alteration of plant-nutrition along height-curve

The nutrient result of these phenomena along the height-curve evens out with big fluctuations, as both the uphill and the downhill clusters contain poisons and nutrients.

TABLE OF CONTENTS

Secondary plant nutrition effect

Positive correlation is signed with (/)
Negative correlation is signed with (\)


It is to be noted that hard to solve compounds of no nutritious effect cause a secondary release of plant nutrition by competitive binding of negative ions in deficiency.

Silica has as the largest soil component a negative correlation towards nutrition, most likely because of long term competitive solving effect on nutrients (causing deficiency), this is a perspective on the other hard to solve competitive compounds as well.


This picture shows how the penetration of oxygen into the soil forms an oxidationzone in which sulfate dominates over sulfide, the depth of the oxidationzone can be regulated by plowing thus affecting whether the binding of nutrients is to be by sulfate or sulfide. It also shows how the soil is naturally added with sulfur by acid rain and also can emit sulfur as dihydrogensulfide.


TABLE OF CONTENTS

Practical experiments

In the summer of 2008 I cropped carrots in three large pots containing 30kg of soil each, one with an ordinary turf-soil and two with clay-soil, of one was added with 12g of zirconium dioxide (ZrO2).

The growth result was an increase of 3.5 times in the clay soil added with ZrO2 in comparison with the original clay soil, the outmost crop was as expected in the turf-soil.

It is thus very likely the theory of competitive dissolving and crystallization works practically, zirconium has caused a secondary nutrition release accordingly, binding sulfide that would have made phosphorus unavailable to plants.

QED

Carrots cropped in three pots
Normal growth in turf-soil Untreated clay-soil Zirconium increase growth 3.5x


The pictures below show how the competitive processes affect plant-nutrition from year 2010 to 2018. The pots containing Zirconium and the untreated Reference were collected in 2008. The pots containing the Fertilized soil and the one with Bound fertilizer were collected in 2010. The binding of the excessive fertilization is with 38g of CaSO4 and 207g of K2CO3 to alter the anion-balance, to study the effects on available plant-nutrition.


A series of total ICP-analyzes have been done 2019, to figure out these phenomena properly. These strengthen the theory and have been evaluated during 2021.

The results from the test-soils are:
Fast release of plant-nutrition with zirconium added, with depletion to deficiency of phosphorus. Adding sulfur yeilds a depletion path of several nutrients, but binds phosphorus. Regular plant fertilizer offers good growth for long time. Untreated soil is rather stable.

Zirconium in excess:
Adding ZrO2 in excess forms ZrS2 binding sulfide, that would release easily solved sulfide compounds. These compounds remains immobilized in the soil, not interacting with the theoretic depletion-path with silica, nor competitive depletion with zinc or lead. Phosphorus is on the other hand pretty immobilized related with sulfur, and is depleted in deficiency of sulfur. This probably due to sulfuric acid from oxidized sulfide, that solves metal-ions from silicates, forming insoluble phosphates.

Zinc is depleted in competition with the excess of zirconium. Yttrium added to ZrO2 for stabilizing, appears in that soil. An elevated level of tungsten appears unexplained in the pot added with just plant plant nutrition.

TABLE OF CONTENTS
Thank You! Joakim Forssman JSF-KEMI email:Joakim@ekomatte.se